Momilactone: Hợp chất đắt hơn vàng 30.000 lần
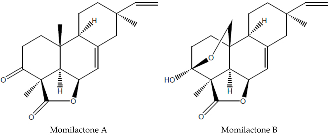
Phó giáo sư (PGS) Trần Đăng Xuân, Trưởng Phòng thí nghiệm Sinh lý thực vật và Hóa sinh, Đại học Hiroshima, Nhật Bản, cho biết ông đã tìm thấy sự hiện diện của 2 hợp chất Momilactone A và B (MA và MB) trong gạo.
![]() |
Hợp chất này từng được trang điện tử Carbosynth.com của một công ty chuyên về các sản phẩm hóa sinh nổi tiếng của Anh bán với giá 1,25 triệu USD/1g (tương đương 38.350.500.000 đồng, đắt gấp 30 ngàn lần giá trị 1g vàng).
Được biết sau khi thấy hai hợp chất quý MA và MB trong gạo và trấu, PGS Trần Đăng Xuân cùng cộng sự đã ngày đêm chưng cất và tinh lọc. Từ 20 kg vỏ trấu, sau gần 3 tháng, khoảng 300 mg MA và 200 mg MB (chiếm khoảng 1/100-150 nghìn trọng lượng vỏ trấu) được tinh cất.
PGS Trần Đăng Xuân cho biết, trong hai năm từ 2016 và 2017, ông và nhóm nghiên cứu bắt đầu tìm cách nghiên cứu tinh lọc hai hợp chất MA và MB từ vỏ trấu của lúa. Do chúng có cấu trúc phức tạp và khá tương tự nhau nên việc tách chiết và tinh chế riêng biệt hai chất này rất khó khăn. Tuy nhiên sau đó ông cùng với các cộng sự đã phát triển riêng phương pháp tinh lọc MA và MB từ vỏ trấu bằng cách sử dụng nhiệt độ, áp suất từ các dung môi thông dụng trong phòng thí nghiệm. Phương pháp này cho phép chiết xuất hai hợp chất với độ tinh khiết cao hơn và lượng tinh thu nhiều hơn.
Sau khi tách chiết thành công, các thí nghiệm sinh lý và sinh hóa, kiểm tra hoạt tính chống tiểu đường, chống béo phì và gút dựa trên các thí nghiệm in-vitro (trong ống nghiệm) về ức chế hoạt động của các enzyme chính từ hợp chất này cũng được nhóm nghiên cứu thực hiện. Kết quả cho thấy cả MA và MB đều có hoạt tính ức chế hoạt tính cao vượt trội so với chất ức chế chuẩn như acarbose - chất được bán thương mại và sử dụng rộng rãi trong điều trị tiểu đường.
![]() |
| PGS Trần Đăng Xuân (giữa). |
Hợp chất MA và MB cũng thể hiện hoạt tính sinh học và hóa học mạnh mẽ ở nồng độ phản ứng thấp hơn so với một hợp chất phenolics nổi tiếng là gallic acid. Hơn nữa, sự kết hợp của MA:MB theo tỷ lệ 4:1 cho kết quả ức chế tối ưu enzyme xanthine oxidase liên quan đến chống bệnh gút.
Ngay khi kết quả nghiên cứu của PGS Trần Đăng Xuân được công bố trên tạp chí khoa học quốc tế vào ngày 29-1-2019, chỉ sau một tuần, nhiều công ty tại châu Âu, Mỹ và Nhật Bản đã đề xuất đầu tư và hợp tác nghiên cứu về hai hợp chất MA và MB, tạo các sản phẩm từ gạo có khả năng giảm thiểu tiểu đường, bệnh gút và béo phì, cũng như việc đặt mua hai hợp chất MA và MB.
Thực ra khi biết Momilactone được tìm thấy trong gạo thì mỗi người Việt chúng ta chẳng ai nghĩ rằng nó lại đắt đỏ như thế. Nhưng các nhà khoa học cho biết, sở dĩ hợp chất này đắt gấp mấy chục lần vàng vì rất hiếm phòng thí nghiệm thành công trong việc tách chiết. Cũng vì giá của nó quá đắt nên hiếm có phòng thí nghiệm nào đủ điều kiện tài chính để mua MA và MB, do đó các nghiên cứu sâu về hợp chất này cũng vắng bóng trên thế giới.
Trước đó, từ năm 1973, nhà khoa học người Nhật Tadahiro Kato và các cộng sự từng tìm thấy hai hợp chất quý MA và MB trong vỏ trấu. Nhưng suốt hơn 40 năm qua, các nhà khoa học trên thế giới đều tin rằng MA và MB chỉ là hợp chất thứ cấp (secondary metabolite) do lúa sinh ra để ức chế hoạt động của thực vật cạnh tranh với cây lúa.
Tuy nhiên, các nghiên cứu của PGS Trần Đăng Xuân sau đó được công bố đã làm thay đổi quan niệm này. MA và MB đóng vai trò trong khả năng chịu mặn và chịu hạn của lúa mạnh mẽ hơn nhiều so với khả năng ức chế sinh trưởng thực vật như nhà khoa học Nhật Bản Tadahiro Kato và nhiều nhà khoa học trên thế giới khác đã từng công bố trong vòng hơn 40 năm qua.
Công bố này gây sự chú ý lớn trong giới khoa học về sinh lý thực vật trên thế giới, đặc biệt trên cây lúa. PGS Trần Đăng Xuân cũng khẳng định, hai hợp chất MA và MB còn có khả năng kỳ diệu hơn nữa. Hiện ông và cộng sự muốn tập trung sâu hơn nữa vào việc nghiên cứu các hoạt tính hóa sinh, y và dược của MA và MB như chống các loại ung thư, bệnh mất trí nhớ... và triển khai các thí nghiệm in-vivo (trong cơ thể sống) trên chuột và thí nghiệm lâm sàng, nhằm tìm hiểu rõ vai trò thực sự của hai hợp chất quý gấp nhiều lần vàng trong cây lúa.
Ông cũng tiết lộ sẽ kết hợp với một số công ty của Nhật Bản và các cơ quan nghiên cứu Việt Nam như Viện Di truyền Nông nghiệp để sản xuất ra các giống lúa có hàm lượng MA và MB cao gấp nhiều lần thông thường, nhằm tạo ra sản phẩm gạo Việt Nam được bán với giá cao trong và ngoài nước. Ông cũng tin tưởng rằng sau vài năm nữa, những sản phẩm thương mại đầu tiên từ cây lúa Việt Nam có chứa hàm lượng cao hai hợp chất MA và MB sẽ được người Việt Nam, Nhật Bản, châu Âu và Mỹ biết đến.
Dựa vào kết quả nghiên cứu in-vitro, PGS Trần Đăng Xuân và cộng sự khẳng định việc ăn một lượng gạo nhất định hàng ngày có thể giúp giảm nguy cơ bệnh gút, béo phì và tiểu đường. Kết luận này thay đổi quan niệm thông thường rằng ăn gạo làm đẩy mạnh nguy cơ mắc bệnh tiểu đường cho con người.


